姚 英,何 凱(太原理工大學化學工程與技術學院,山西太原030024)
白炭黑泛指白色粉末狀態的無定型二氧化硅,由于其微觀形態特征,特別是在橡膠應用中有類似于炭黑的補強性能,故稱之為白炭黑。白炭黑的生產方法大致分兩種[1]:干法熱解和濕法沉淀。其中干法熱解包括氣相法、電弧法;濕法沉淀包括硫酸沉淀法、鹽酸沉淀法、硝酸沉淀法、碳化法(CO2沉淀法)、水熱法、氣凝膠法等。根據國內外白炭黑生產狀況,采用氣相法、硫酸沉淀法、鹽酸沉淀法的工藝較成熟,而采用碳化法的工藝不多。因電石生產而產生的廢氣———石灰窯氣中含有大量的CO2,它排放到空氣中導致的環境污染很嚴重。因此,本文研究、探討利用石灰窯氣進行碳化法生產白炭黑的新工藝。
1 實驗部分
1.1 原材料
水玻璃,SiO2質量濃度為336g/L,Na2O質量濃度為98g/L,模數m=3.53.原料氣體,由純CO2和N2按體積比2∶3模擬石灰窯氣進行配氣。
1.2 主要設備和儀器
電動攪拌器(50W,110V);DBT電動攪拌機調速器;變壓器;電熱水器;氣囊;轉子流量計;自制玻璃反應器;電熱鼓風干燥箱。
1.3 工藝流程
工業水玻璃經加水調濃,過濾精制后,加入反應器中,水浴加熱,升溫到一定溫度,通入原料氣進行碳化反應。反應完后將漿液沉淀洗滌,再真空抽濾,把濾餅放入烘箱中干燥,破碎后即可得到白炭黑產品,實驗流程見圖1.

1.4 實驗原理
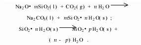
水玻璃溶液同含CO2的混合氣體進行碳化反應,生成白炭黑,屬于氣$C液$C固三相反應體系。一般認為碳化反應如下[2,3]。
主反應:

副反應:
Na2CO3(l)+CO2(g)+H2O2→NaHCO3(1).
上述反應式僅為示意式,實際情況不會如此簡單。水玻璃溶液同時具有溶液和膠體性質,它的膠體性質對它與其它物質反應的中間物質和最終產物有很大影響。它是一種混合物,其中包括堿金屬硅酸鹽、無定型二氧化硅、水合物和氫氧化物,反應過程無疑是復雜的。水玻璃吸收二氧化硅的反應歷程,一般認為首先是水玻璃水解成氫氧化鈉和硅酸,再由氫氧化鈉與二氧化碳反應生成硅酸鈉。反應方程式如下。
水玻璃水解:

上述反應體系中,水玻璃的收率或白炭黑的產率是衡量反應過程優劣的一個重要指標,它是由一定條件下體系的化學平衡決定的。由于三相反應的復雜性及液相離子之間相互作用情況難于預測,為此我們制定了可實現上述反應的實驗方案,考查了不同影響因素下白炭黑的產率及產品物性,以實現工藝參數和生產過程的最優化。上述反應體系的宏觀動力學特征可用Lewis和Whieman的雙膜理論描述[4]。在間歇操作的釜式反應器中,將水玻璃水溶液預先置于其中,在恒溫和攪拌條件下通入二氧化碳。氣液相的混合過程是二氧化碳從氣相主體傳遞至相界面,然后通過液膜進入液相主體并與水玻璃發生反應,反應僅發生在液相。反應過程屬于擴散控制(氣膜或液膜控制)還是動力學控制,取決于氣液間的傳質強度。當攪拌速度達200r/min時,氣 液兩相間接觸很充分,氣體的溶解和擴散速度較快,加之二氧化碳是過量的,因此總的反應速度屬于動力學控制。其次,就上述反應而言,從理論上講[2,7],CO2分子可以直接與OH 反應而生成CO32-離子,當有游離的OH-存在時,此反應是快的,而水玻璃的水解反應則是慢的,所以水玻璃的水解反應的速度就決定了整個吸收過程的速度。
1.5 產品物性測試
產品中二氧化硅含量的測定用氟硅酸鉀容量法。顆粒粒徑的測定如下:以質量分數0.2%的六偏磷酸鈉溶液為分散液,放入產品,用磁力攪拌器攪拌分散制成懸浮液,用SA CP3粒度分布儀測定。DBP(鄰苯二甲酸二丁脂)吸著率按國家標準GB10528—89測定。
2 結果與討論
影響反應化學平衡和速率的主要因素有反應溫度、反應時間及原料配比,其次還有石灰窯氣組成、攪拌速度、氣體流量等。考慮到它們之間的主次關系,固定后者,對前者作了三組單因素實驗,分別考察了它們對白炭黑產率及產品質量的影響。實驗測定了產品的粒度分布、平均粒徑和DBP吸著率。
2.1 反應溫度對產率及產品物性的影響
反應溫度是一個很敏感的因素,它與化學平衡和反應速度都有關。由于低溫時反應物系出現凝膠,說明反應適宜在較高溫度下進行。為此,固定反應時間(2h)、原料配比(水玻璃與水體積比為1∶5)、原料氣組成(V(CO2)∶V(N2)=2∶3)、通氣速率(60mL/min)及攪拌速率(3r/s)等因素,對溫度選取了6個水平進行實驗,實驗結果見表1.

由表1可見,當反應溫度在85℃以下時,產率較低,產品粒徑較大,DBP吸著率也小;但當反應溫度升高到85℃以上時,產率變大,產品粒徑變小,DBP吸著率也增大。并且發現,高溫下反應得到的白炭黑原生粒徑小,結構疏松,孔隙率高;低溫下反應得到的白炭黑結構堅實而緊密,原生粒徑較大。上述現象可解釋為[5]:白炭黑在聚集時,高溫能增大聚集速度,同時能增加高能簇團的總數。高溫下,溶液粘度相對下降,簇團的相對運動增強。如果溫度高到足以使大簇團運動,那么大簇團之間相互有效碰撞形成更大的聚集體,從而增大了粘附聚集的概率,這種聚集速度比大簇團俘獲單個質點要快。因此,高溫下生成的聚集體結構疏松,原生粒徑小,比表面積大,活性高。低溫下反應,聚集體的生長是由大簇團與單個粒子或小簇團之間的聚集決定的。由于溫度低,較大的簇團易動性較差,聚集過程主要表現為小粒子與簇團之間逐漸變化,結果形成緊密而堅實的聚集體。綜上所述,反應溫度應控制在85~95℃之間。
2.2 反應時間對產率及產品物性的影響
固定反應溫度(80℃)、原料配比(水玻璃與水體積比為1∶5)、原料氣組成(V(CO2)∶V(N2)=2∶3)、通氣速率(60mL/min)及攪拌速率(3r/s)等因素,對反應時間選取了5個水平進行反應并對產品進行分析,結果見表2.

由表2可見,當反應時間延長到2.5h以后,白炭黑的產率明顯提高,產品的粒徑增大,DBP吸著率較高。上述結論可解釋為[7]:在整個反應體系中水玻璃的水解反應是控制步驟,所以反應必須經過一定時間后,水玻璃水解才完全,相應的產率自然會升高。反應時間延長到2.5h以后,反應已接近平衡,產率基本不變。而且隨反應時間的延長,體系長時間受熱,加速了大簇團運動,彼此碰撞而形成結構發達、疏松、吸油值較高的產品白炭黑。因此,反應時間應控制在2.5h為宜。
2.3 原料對產率及產品物性的影響
固定反應溫度(80℃)、反應時間(2h)、原料氣組成(V(CO2)∶V(N2)=2∶3)、通氣速率(60mL/min)及攪拌速率(3r/s)等因素,通過改變水玻璃與水的配比(體積比)來改變原料濃度,對水玻璃與水的體積比選取了5個水平進行反應,結果見表3.由表3可見,隨著原料濃度的逐漸減小,產率先增大后減小,但是白炭黑粒徑越來越小,DBP吸收值也在減小。上述結論可解釋為[5,6]:水玻璃的粘度隨濃度的增加而升高,反應物濃度過高,水玻璃粘度高,這便不利于CO2由氣相主體傳向液相主體,致使反應速率下降。因此,當反應物濃度由高到低變化時,產率升高;但濃度太低,體系中水玻璃太少,自然產率低,且能耗高,不經濟。而且,隨著反應物含量的降低,當水玻璃與水體積比為1∶7,原料含量太低,達不到核晶生成所需的過飽和度,也就形成不了核晶,或者即使有核晶形成,也會由于溶液中可利用的物質較少而限制了核晶的增長,致使白炭黑聚集體一次結構的聚合度低,最終形成緊密、堅實的白炭黑聚集體,這種結構的產品孔隙少,比表面積低,DBP吸著率低。因此,原料濃度的調節可綜合考慮經濟指標,選取合適的稀釋度。

3 結論
1)以模擬石灰窯氣和工業水玻璃為原料,采用碳化法生產白炭黑的工藝是可行的。
2)通過一系列單因素實驗,得到了適宜的工藝條件:溫度在85~95℃之間較好;反應達到2.5h,反應基本完全;原料液濃度的調節可綜合考慮經濟指標,選取合適的稀釋度。
3)由于多相反應體系的復雜性,如體系易生成凝膠和通氣困難等,多相反應器的設計有待改進,以更符合反應特點。
4)以石灰窯氣代替無機酸制備白炭黑,具有環保和原料低廉的雙重意義,可望有實用工業價值。
參考文獻:
[1] 汪忠根.白炭黑的制造[J].無機鹽工業,1994(3):22 25.
[2] 胡慶福.噴霧碳化法生產透明白炭黑新工藝研究[J].無機鹽工業,1997(6):31 33.
[3] 胡慶福.CO2沉淀法制取高補強白炭黑[J].現代化工,2000(6):31 33.
[4] 樊俊秀.碳化法生產白炭黑的工程分析[J].無機鹽工業,1986(2):12 15.
[5] 李安.沉淀法白炭黑制備過程的動力學分析[J].炭黑工業,1993(4):20 25.
[6] 李安.影響沉淀白炭黑產品物化性能的內在因素[J].炭黑工業,1994(5):24 30.
[7] 熊仕奴.窯氣鼓泡碳化法生產白炭黑的工藝探討[J].無機鹽工業,1988(2):15 19.






















